About Me
Hello! 天天开心!I'm real zhenglongcong.com
Learn more from my CV. If you are interested in any aspect of my work, I would love to chat and collaborate. Please feel free to contact me via email:
nichenxu@foxmail.com
nichenxu@ucass.edu.cn
🌟 Recent Research Highlights
![]() | Solving Coordination Failures: Collective Land Transfer Rights and Rural Entrepreneurship Strengthening communal land transfer rights enhances rural entrepreneurship—particularly in areas where collective coordination is more feasible—by reducing land use costs and increasing local land wealth. |
![]() | The Role of Weather Forecasts in Climate Adaptation and Reducing Medical Costs in China Improving forecast accuracy significantly reduces morbidity and medical spending, with mispredictions—especially under extreme weather—driving sizable increases and highlighting information as a cost-effective adaptation. |
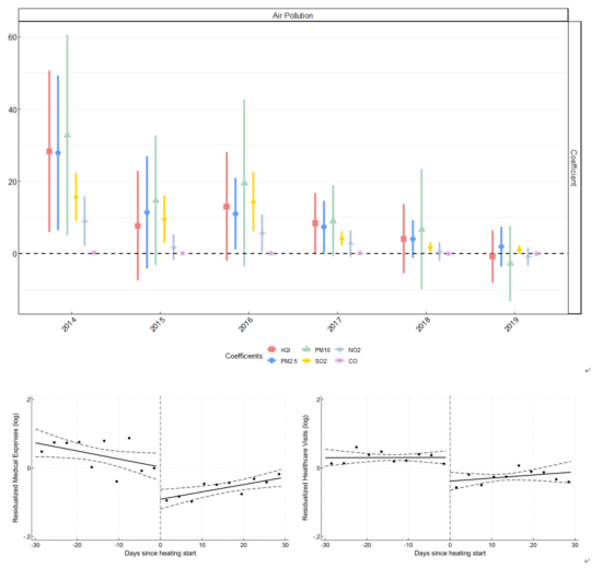
![]() | Heating For Health: Cold Adaptation, Pollution Trade-Offs, and Distributional Impacts of Winter Heating on Medical Expenditure Winter district heating cuts medical expenses and visits via cold adaptation, but pollution offsets about two-thirds of the gains and disproportionately harms rural and non-CDHS-covered residents. |



